You are here

Number Theory: Volume 1: Tools and Diophantine Equations

Henri Cohen
Publisher: 
Springer Verlag
Publication Date: 
2007
Number of Pages: 
650
Format: 
Hardcover
Series: 
Graduate Texts in Mathematics 239
Price: 
59.95
ISBN: 
9780387499222
Category: 
Textbook
[Reviewed by
Michael Berg
, on
07/20/2007
]

Around thirty years ago, in my own university days, number theory books of this type didn't exist — or, if they did, they weren't favored by my professors. I think the principal reason for this is that number theory, like applied mathematics, or like physics, is not easily packaged: it is a collection of subjects arranged around a central core of questions, or themes, having to do with numbers. In other words, integers, rational numbers, irrational numbers, algebraic numbers, and even transcendental numbers can play, but not transfinite numbers.

So it's probably easier simply to say that number theory is not particularly concerned with shapes or curves, i.e. geometry or analysis. But geometry will have its due, as is evidenced ever so dramatically by the work of Minkowski, and as far as analysis is concerned, well, let's just say that it all began with Euler and Riemann (though one could make a case for Gauss — but this is true for just about every other branch of mathematics, or so it seems). In any case, we can speak of the geometry of numbers and of analytic number theory, even if Weil famously claimed that the latter was really analysis masquerading as number theory.

Maybe algebra should be singled out then, as something of a natural habitat for number theory, but I have in fact heard the case made the other way. Already in my freshman year, in the number theory sequence I followed in tandem with the algebra sequence, E. G. Straus quipped that group theory, like everything else in mathematics, was developed for number theoretic purposes. Shocking (and exciting) though this remark was to me, I have learned over the years that this estimate is not all that far off the mark. In any event, the connections are everywhere: if you're going to do number theory you'd better prepare yourself to learn a little (or a lot) about the aforementioned "everything else."

Doubtless this is also part of the reason why my de facto undergraduate advisor, V. S. Varadarajan, once said that on the other side of the number theory coin one would find (of all things!) physics. Of course, the truth of this deep statement didn't really come home to me until about a decade later, when my own work in analytic number theory had me learning about Heisenberg groups and Schrödinger representations. (Along these lines it is clearly necessary to mention the well-known work of George W. Mackey, Ed Witten, and Alain Connes, smashing the boundaries between physics and number theory in half a dozen other places.)

Granting the thesis, then, that — unlike, say, group theory — the theory of numbers is not quite as easily pigeon-holed, and that its characterizing object of study is more ineffable, it's not surprising that mathematics graduate schools have not opted to build their number theory curricula around a small number of standard texts — at least not at the pre-seminar stage. I am reminded in this connection of the dramatic impact made by Hartshorne's Algebraic Geometry when it first appeared on the scene in the late 1970s: before its appearance, a beginner in algebraic geometry would go straight from courses in algebra (including commutative algebra à la Zariski-Samuel) and topology (and, hopefully, differential geometry) to papers and specialized books. Of course, Mumford's famous Red Book is an exception to this rule, but it is, after all, eminently bracketable with Hartshorne's book. Additionally, I think it's fair to say that Mumford's books are a law unto themselves.

To get back on track, however, it's fair to say that number theory is also a law unto itself, in that there is really no central text shared by every graduate student in the field. Every analyst has done battle with "Green Rudin," every algebraist with Lang's Algebra, every topologist with Spanier [?], every geometer with Kobayshi-Nomizu [??]. And the list goes on. But number theory is different — as is applied mathematics. (Can you think of a standard core text?). There is no counterpart to Walter Rudin's famous Real and Complex Analysis. Till now, that is… (maybe).

Henri Cohen's two-volume opus, Number Theory, is poised to fill the gap as a core text in number theory, perhaps in much the same way as Hartshorne's book in algebraic geometry, or even Green Rudin. Will Cohen's books do so? I think there's a good chance they will.

However, before I get to an enumeration of reasons why this should be true, I should point out that it is still the case that a more meandering, non-linear path to the destination of number-theorist is not only possible, but commendable, for the obvious reasons that different perspectives are always desirable. My own favorite books in this regard include the classics by Hecke, Weil (i.e. his Basic Number Theory — yeah, right… "basic:" hah!), and of course Borevich-Shafarevich. And in analytic number theory proper (pace Weil), there are the recent (!) books by Iwaniec and Kowalski and by W. Narkiewicz. The latter in particular, i.e. Elementary and Analytic Theory of Algebraic Numbers, obviously shares a lot of material with Cohen's Number Theory and the truly motivated number theory student (which one never ceases to be, of course) should study both. Narkiewicz' book is also gorgeous and irresistible (to me, at least; see my review ).

Well, on to Cohen's two volumes, then. Their central focus is diophantine analysis, or, rather, diophantine equations, which is obviously the right choice in this day and age, given Wiles' manhandling of Fermat's Last Theorem in the 1990s. But Cohen is keen, too, on pointing out, following Zagier, that the subject's unifying theme is the study of zeta- and L-functions — the unifying theme for all of number theory, in fact.

This dialectic fits very well with one of the most notable distinguishing features of Number Theory , namely, the relationship between areas of exploration (e.g. diophantine questions) and the required tools. The imposing length of the books (each volume has on the order of 600 pages) is really an unavoidable circumstance if, in addition to traditional algebraic and analytic tools, modern (i.e. contemporary) approaches are also to be covered. And Cohen caps off his tour with exactly that. This augurs well for the proposition that Number Theory could indeed take on the role of a standard text at the beginning graduate level. (Inter alia, allowing for a somewhat narrower scope, the relatively recent book by the late Jürgen Neukirch, Algebraic Number Theory, bears mentioning in this connection, for the reason that here one is actually presented with scheme-theoretic methods qua number fields in what is emphatically an introductory graduate text. Varieties and schemes do not occur in Cohen's two books, although Grothendieck's dessins d'enfants do occur in the part devoted to modern tools. This is suggestive, of course, of Cohen's larger objective of educating specialists in what he calls "explicit number theory".)

Another reason why Number Theory should be a smashing success is the incomparable collection of more than 500 exercises which include among them a number of spring-boards to research proper. In fact Cohen's very first exercise (p. 8) already invites the reader to play with a precursor to the congruent number problem, as the author makes tantalizingly clear. Problems of this type, inviting mathematical play, and even more, are found throughout, but the majority of exercises are of a more standard (old fashioned?) sort, ranging from the straightforward to the "highly entertaining" (to use a favored phrase in our common professional vernacular). Here is a small and disparate collection of samples. First, from Volume I:

p. 179, no. 1: Show that every finite field is perfect.

p. 180, no. 14: Let α be an algebraic number. Prove that R=Z[α] ∩ Z_{Q(α)} is the largest subring of Z[α] that is a finitely generated Z-module.

p. 611, no. 21: Set

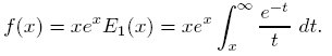
dis{f(x)=xe^xE_1(x)=xe^xint_x^infty{e^{-t}over t}  dt}.

(a) Show that if we set y0(t) =f(1/t) then y0 is a solution of the differential equation t2y' + (1+t)y – 1 = 0.

(b) Prove that y0 is a C function around t = 0, and that it has the (nonconvergent) series expansion y0(t) = Σn ≥ 0(-1)nn!tn.

[(c) Generalities on Ricatti's equation.]

(d) Let yn be the C function that is a solution of t2y' + (1 + ant)y + bnty2 – cn = 0. Prove that if we set yn = cn/(1+tyn+1) then yn+1 is the C function that is a solution of t2y' + (1 + an+1t)y + bn+1ty2 – cn+1 = 0, with an+1 = 1 - an, bn+1 = 1, cn+1 = an + bncn.

(e) By proving the convergence of the continued fraction, deduce that

E_1(x)={e^{-x} x+{strut 1overdisplaystyle 1+{strut 1overdisplaystyle x+{strut 2overdisplaystyle 1+{strut 2over x+ddots}}}}}

(f) By contracting this fraction, deduce finally that

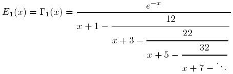
E_1(x)=Γ_1(x)={e^{-x}overdisplaystyle x+1-{strut 12overdisplaystyle x+3-{strut 22overdisplaystyle x+5-{strut 32overdisplaystyle x+7-ddots}}}}

Gorgeous! And deep too. Cohen then goes on, in the next exercise, to lead the reader to the conclusion that if pn/qn is the n-th convergent of E1(x) as given in (f), then

{E_1(x)-{p_nover q_n}sim 2pi e^{-4sqrt{nx}}}.

This is remarkable indeed!

Next, Volume II:

p. 119, no. 5: Prove the following reciprocity formula [for the Bernoulli numbers]:

{m!sum_{j=0}^m{B_{m-j}over(m-j)!}   {B_{n+j+1}over(j+1)!}+n!  sum_{j=0}^n  {B_{n-j}over(n-j)!}   {B_{m+j+1}over(j+1)!}=-B_{m+n}}.

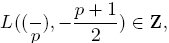
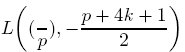
p. 260, no. 15: (a): Prove that for all primes p > 3 we have L({-/p),-(p+1)/2})in {f Z}}, where (-/p) is the Legendre symbol.

(b) Generalize to Ligg(dis{({over p}),-{p+4k+1over 2}igg)} for k in Z, k ≠ 1.

p.260, no. 21: For τ in H (the complex upper half-plane) set

{R(	au)=sum_{nin{f Z}}{1overcos(pi n	au)}}

(a) …prove that R(-1/τ) = τR(τ). Since clearly R(τ+2) = R(τ) this shows that R is a modular form on the same group as the function

θ(τ) = θ(1,τ) = Σm∈Z e2πn2τ

(b) Show that in fact R(τ) = θ(1,τ)2.

[I love this exercise]

p. 272 no. 63: Imitate the proof of theorem 10.5.30 and use the quadratic reciprocity law to prove the following: if a∈Z is not a perfect square, the analytic density of primes p such that a is a square modulo p is equal to 1/2.

Well, enough of this. It's abundantly clear that Cohen has put an unparalleled amount of energy into the exercises in Number Theory, and his efforts have richly paid off, both as regards their breadth and their depth.

And the same can be said for the text proper. The attention to detail is exemplary, the coverage of the indicated material is thorough but not austere, and the reader is kept busy, very busy, as it should be. Quadratic reciprocity occurs nice and early (p. 33 ff. of Vol. I), as does the local-global interplay (Hasse-Minkowski ca. p. 300 of Vol. I); the treatment of quadratic forms in Chapter 5 of Volume I is wonderful; it's preceded by an equally terrific discussion of algebraic number fields (chapter 3) and things p-adic (chapter 4); and it is all capped off (in Volume I) by (yes) elliptic curves. I think this is possibly the best layout of all of this important material. (By the way, the geometry of numbers even manages to make an early appearance: Minkowski's convex body theorem occurs on p. 63.).

Volume II of Number Theory is specifically devoted to analytic number theory, of course, and the first three chapters deal with both the archimedean and non-archimedean (i.e. p-adic) aspects of the theory of L-functions. The requisite background, e.g. the inner life of the Γ-function, is taken care of first, in the same thorough and evocative manner. I want to draw special attention to sections 10.5, 10.6, i.e. "Dirichlet series linked to number fields," and "Science fiction on L-functions." Theorem 10.5.30 is nothing less than Dirichlet's theorem on primes in arithmetic progressions (followed by the proof in the space of half a page: Cohen has set the stage beautifully); note that the aforementioned sample exercise (p. 272, no. (63) dove-tails with this discussion. Subsequently Cohen's excursion into science fiction is something of a collaboration with Zagier and quickly takes the reader into the present — and into the future.

After all this, Cohen goes on to cover the prime number theorem, giving two proofs, including Zagier's re-write of D.J. Newman's remarkable (and remarkably short) proof. The other proof is due Henryk Iwaniec and avoids Tauberian theorems. This kind of contrast, so useful to any worker in the field, is very unusual and very welcome in a text at this level.

Finally, the third major part of Number Theory is devoted to what Cohen calls "modern tools," for whose exposition he has enlisted a number of guests. So it is that Yann Bugeaud, Guillaume Hanrot, and Maurice Mignot write on linear forms in logrithms, Sylvain Duquesne on rational points on higher genus curves, and Samir Siknuk on diophantine equations (bringing everything full-circle: the book leads off with diophantive equations in chapter 1 of Volume I). Cohen himself discusses the super-Fermat equation (the exponents can vary) and introduces e.g. Grothendieck's dessins as already indicated.

So, all in all, Henri Cohen's two volumes of Number Theory are, to any mind, an amazing achievement. The coverage is thorough and generally all but encyclopedic, the exercises are good, some are excellent, some will keep even the best-prepared student busy for a long time, and the cultural level of the book (to use an undefinable term) is very high. I acknowledge that as something of an old timer in number theory, my perspective on what Cohen has wrought is more sanguine than that of a second-or third-year graduate student who opens the first book only to read, right off the bat, a pretty technical, if informal, discussions of five centrally important examples (p. 1 ff. of Vol. I): Fermat, Catalan, the congruent number problem, Weil, Waring. Yes, Cohen's approach is sophisticated and mature, and should be foisted on the novice only in the presence of an experienced guide who can direct the youngster's formation both mathematically and psychologically. With this caveat in place, however, I cannot imagine that Number Theory won't soon come to be the major player at the indicated level. It's a superb set of books, indeed!


Michael Berg is Professor of Mathematics at Loyola Marymount University in Los Angeles.

 Preface.- Introduction to Diophantine Equations.- Abelian Groups, Lattices, and Finite Fields.-Basic Algebraic Number Theory.- p-adic Fields.-Quadratic Forms and Local-Global Principles.- Some Diophantine Equations.- Eilliptic Curves.- Diophantine Aspects of Elliptic Curves.- Bibliography.- Index.