The author’s intention in this enlightening and inspiring book is to introduce the reader to advanced problem solving techniques via case studies. It has twenty-one relatively short independent chapters that contain “kernels of sophisticated ideas connected to important current research” and expose the principles underlying these ideas. Chen is a devotee of Pólya’s rubric for problem solving and practices what he preaches:
…I have begun each topic by categorizing and identifying the problem at hand, then indicated which technique I will use and why, and ended by making a worthwhile discovery or proving a memorable result. I often take the reader through a method which presents rough estimates before I derive finer ones, and I demonstrate how the more easily solved special cases often lead to insights that drive improvements of existing results. Readers will clearly see how mathematical proofs evolve ― from the specific to the general and from the simplified scenario to the theoretical framework.
Each chapter begins with an appropriate quotation and ends with exercises and a brief list of references. (Chapter 18 references a paper written by the author’s son when he was an undergraduate.) Many of the examples and problems are taken from the Monthly or the Putnam exam; and there are 14 open problems. Selected problem solutions are provided at the back of the book. There aren’t many figures, but each page is dense with (beautiful) mathematical formulas.
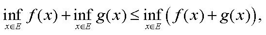
The first three chapters discuss inequalities and are relatively elementary. Chapter 2 presents the author’s new approach to proving inequalities based on the fact that

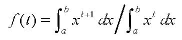
where E is a subset of R. Together with convexity, Chen’s method yields proofs of the AGM and Cauchy-Schwarz inequalities, as well as a new elementary proof Ky Fan’s inequality connecting weighted arithmetic, geometric, and harmonic means. As is the case for several of the chapters, this work is based on the author’s published work. In Chapter 3, the author shows that six standard means can be represented by the function

for different values of t. By showing that f(t) is strictly increasing, Chen derives inequalities connecting the six means. I remember being impressed by the author’s paper (Mathematics Magazine, December 2005) on which this exposition is based.
Chapter 6 treats generating functions, Fibonacci numbers, harmonic numbers, Bernoulli numbers, and the Euler-Maclaurin summation formula. Even though there’s nothing particularly new here, the material is developed very nicely.
In Chapter 18, following a paper of D. H. Lehmer, the author defines an “interesting” series as one for which there is a simple explicit formula for its nth term and which has a sum with a closed form expressed in terms of well-known constants ― for example, the Gregory-Leibniz series for π/4 or the series defining Apery’s constant, z(3). Here, as in Lehmer’s paper, Chen focuses on series involving reciprocal binomial coefficients. The author goes beyond Lehmer’s focus on series involving the central binomial coefficient and ends this chapter with a search for new formulas for π employing the methods of experimental mathematics.
Some readers may recognize Chen’s name as an avid proposer and solver in several journal problem sections. The last chapter presents Chen’s solutions to eight integral problems that have appeared in the Monthly, half of which have not had their solutions published at the time of this book’s debut.
This book is similar to Excursions in Calculus: An Interplay of the Continuous and the Discrete by Robert M. Young. However, whereas Young’s book (also invoking the spirit of Pólya) is intended as a supplement to calculus texts, the work under review is for the most part clearly meant to supplement advanced calculus or real analysis courses.
Chen’s book is a wonderful updated tour of classical analysis and would serve as an excellent source of undergraduate enrichment/research problems. It recalls the type of gems in classical analysis, number theory, and combinatorics I first encountered in the books of Pólya and Szegö as an undergraduate many years ago. Peruse the Table of Contents and see if some of the topics and subtopics don’t grab you.
Henry Ricardo (henry@mec.cuny.edu) has retired from Medgar Evers College (CUNY), but continues to serve as Governor of the Metropolitan NY Section of the MAA. He is the author of A Modern Introduction to Differential Equations (Second Edition). His linear algebra text was published in October 2009 by CRC Press.