Nomography is the graphical representation of mathematical relationships for purposes of calculation. Invented in 1880 by Maurice d’Ocagne (1862–1938), nomograms were used extensively well into the 1970s (and occasionally today) to provide engineers with fast graphical calculations of complicated formulas to a practical precision.
In 1982 H. A. Evesham produced his doctoral thesis, a review of the important discoveries in nomography. Often cited in related works, it has only recently been professionally typeset and released as a book by Docent Press. If you have an interest in the theoretical aspects of nomography beyond the basic construction techniques of most books, you will appreciate this book. Evesham does a wonderful job of weaving mathematical discoveries in nomography from many contributors into a readable but scholarly work.
The simplest nomogram consists of three or more straight or curved scales, each representing a function of a single variable appearing in an equation. The user can calculate an unknown variable by laying a straightedge across the values of the known variables on their scales; the result is the value crossed on the scale of the unknown variable. Nomograms for equations of additional variables can be constructed by incorporating grids of variable scales, by concatenating simpler nomograms, or with translucent overlays of additional scale arrangements. The creativity seen in some nomograms is astonishing.
In fact, the elegance of nomograms often hides the sophisticated mathematics that underlies them; at one time this represented a unique field of applied mathematics. The French invention of nomography quickly spread to Germany, the U.S., Britain, Russia, Poland and other countries, and marvelous arrangements of curved and overlaid scales were developed. Unfortunately, those of us who enjoy our expeditions through this lost world quickly discover that many original sources still considered masterpieces in the field have never been translated into English. Further, many of the original sources reside in journals that can be difficult to locate.
Evesham’s book centers on the theory of nomography; as such, there are mathematical derivations and sketches of the corresponding scale curves, but few finished nomograms. The nomograms in this review were created using determinant equations found in Evesham’s book. The book offers a broad survey of the field that can be useful in the design of various nomograms today.
Two major threads in the history of nomography are existence criteria and anamorphosis. Existence criteria tell you if the equation you are interested in can be represented as a nomogram (i.e., can be expressed as a determinant equation in standard nomographic form). They also provide guidance in algebraically converting the equation to one of the canonical forms that have matching nomographic forms. Anamorphosis is the process of manipulating an equation into different forms of nomogram, say from three parallel scales to one curve of two scales and one straight scale, or even a single curve along which all three scales lie. It is much more than a simple affine transformation or projection.
Evesham first describes the work of Leon Lalanne, who in 1843 jiggered the x- and y-axis scalings on a Cartesian plot to bend the curves for the equation xy = k into straight lines. In the process Lalanne created the first log-log plot in history and ultimately produced his Universal Calculator graphical computer seen on the cover of Evesham’s book. It was Lalanne who termed this process anamorphosis.
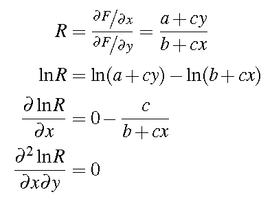
The road from Lalanne to d’Ocagne’s invention of nomography is a slow trip until 1867, followed by an explosion of ideas in the 1880s. The event in 1867 was Paul de Saint-Robert’s presentation of his test to determine whether an equation can be represented by two fixed scales and a sliding scale (as in a special slide rule). This is equivalent to the three parallel scales of d’Ocagne’s later nomogram for the simple addition of three functions. In other words, we are interested in whether an equation in the form F(x,y,z) = 0 can be rewritten in the form Z(z) = X(x) + Y(y). The Saint-Robert criterion says this is possible if

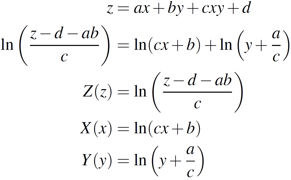
As an example, consider a nomogram for the equation z = ax + by + cxy + d, or F(x,y,z) = –z + ax + by + cxy + d = 0. Can it be drawn it as three parallel scales in x, y and z? Here

So, yes, we find that we can create a simple addition nomogram of three parallel scales as Z(z) = X(x) + Y(y). Evesham also describes Saint-Robert’s method for finding the actual functions X(x), Y(y) and Z(z) to plot along the scales. In this case the functions are shown below, followed by a nomogram for the particular equation z = 5x + 10y + 2xy. The sample isopleth on the nomogram demonstrates the graphical calculation of z = 150 when x = 2 and y = 10.


Saint-Robert’s criterion is also useful for more complicated equations for which it is difficult to determine whether a simple addition form exists. For example, an equation of the form

can be cast as

In fact, the variables x, y and z can be replaced here by any function f1(x), f2(y) and f3(z) and this formulation holds.
Evesham also describes two different criteria by Massau and Lecornu for expressing F(x,y,z) = 0 in the form Z1(z)X(x) + Z2(z)Y(y) = 1, which is equivalent to the general form Z1(z)X(x) + Z2(z)Y(y) + Z3(z) = 0.
Evesham continues his presentation by discussing the important existence theorems of Grönwall, Kellogg and Džems-Levi. Ultimately he points to Warmus’ publication Nomographic Functions in 1959 as the first comprehensive treatment of existence criteria for functions of three variables. Warmus uses exhaustive algebraic techniques based on classifications of equations to either find the determinant elements or show that it is not possible.
An overview of d’Ocagne’s classic Traitè de Nomographie of 1899 is then provided. This is followed by a detailed look at J. Clark’s nomographic discoveries. Consider an equation Clark used, the addition formula for the tangent function:

This can actually be drawn as a basic parallel scale addition nomogram. As one approach, a nomogram is first created for (a+b) = a + b, which for a parallel-scale nomogram consists of identical linear scales for a and b and a linear scale for (a+b) with half the spacing of the other scales and located exactly between them. Then the tangent of each value is simply plotted on the other side of the scales to produce an addition nomogram for the tangent function. A straightedge placed across the values on the tan a and tan b scales will cross the corresponding value on the tan (a+b) scale.

Clark looked at unique nomographic forms that are possible with certain types of equations. One of his results is that an equation in the form f1f2A3 + (f1 + f2)B3 + C3 = 0 can be represented by the following general determinant equation:

where A3, B3 and C3 are functions of the third variable. Expanding the determinant produces the equation (f2 – f1) [f1f2A3 + (f1 + f2)B3 + C3] = 0, which satisfies the original equation but consists of an extra factor (f2 – f1) that we will return to later.
With the substitution f1 = tan a, f2 = tan b and f3 = tan (a+b), the tangent addition formula can be written as

Matching this to Clark’s form above, we find that A3 = f3, B3 = 1 and C3 = –f3 so the determinant equation is of the form

Dividing the third row by f3 we arrive at the standard nomographic form of functions of one variable in each row and a final column of 1’s:

When a nomogram is in this standard form, the first two columns are the x and y functions for the scales for each variable, so the scale for tan a lies along a parabola (x = tan a and y = tan2 a implies that y = x2), and the tan b scale lies on exactly the same curve. The tan (a+b) scale lies on the line y = –1. A straightedge placed across the value of tan a and the value of tan b on the parabola will cross tan (a+b) on the linear scale.
Clark called this a conical nomogram, and its interest lies in the fact that that two of the three scales lie on the same curve, although if f1 and f2 are not the same function the scale labels will be different (and therefore usually printed on opposite sides of the curve). Evesham provides examples for the equation f1 + f2 = f3 and f1f2 = f3 expressed in Clark’s form.
Evesham also mentions that a homographic transformation can always transform this parabola into another conic such as a circle. A circle is far easier to draw by hand, and I think it provides a very striking nomogram. For Clark’s general determinant equation given above, a circle will result if the elements of the determinant are replaced with these functions:

We can choose the angle α, and in fact this positions the opening of the parabola on the circle. Choosing α= 45° yields the nomogram below, where the opening is at this 45° angle:

Clark then found a way to generalize his equation form and provide a means of getting all three scales to lie along a single curve! Clark deduced that the extraneous factor (f1 – f2) in the determinant for the conical determinant is responsible for aligning two of the three scales (f1 and f2 here) on a common curve, so he searched for a factor that would align all three scales. Consider Equation 1 below for an equation in the general form:

Clark found that the extraneous factor should be (f1 – f2)(f2 – f3)(f3 – f1), and this leads to the determinant equation

It is apparent from the x- and y-elements of each row that the three scales lie along the same curve, although if the functions are not identical the scale divisions will differ.
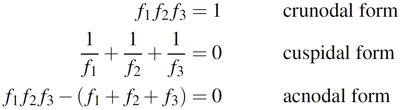
Now we can rewrite the tangent addition formula as f1f2f3 – (f1 + f2 + f3) = 0 for f1 = tan a, f2 = tan b and f3 = –tan (a+b). Matching terms with the general form above, we find that A = 0, B = –1 and C = 0, so the determinant equation becomes:

Now we can add the first column to the third, divide by the second column, and shift the first column to the third column to get this into standard nomographic form:

For f1 = tan a, the scale curve is given as x = tan a, y = tan a / (tan2 a + 1) and the same for f2 = tan b and f3 = tan (a+b) and we have the remarkable nomogram below for tangent addition, which Clark termed the acnodal form:

In fact, the general equation form breaks into three distinct nomographic curve types that cannot be transformed into each other, represented by the following forms:

We have just seen the general acnodal form. The crunodal form is seen below. This curve is also known as the folium of Descartes. The equation f1f2f3 = 1 corresponds to A = 0, B = 0 and C = –1 in Clark’s general equation (1) given above:

The cuspidal form is used for the harmonic relation 1/f3 = 1/f1 + 1/f2. This can be written as 1/f1 + 1/f2 + 1/(–f3) = 0 to get it into the form above. It is not very practical for graphical calculation as seen from the example below for 1/950 + 1/700 = 1/403, but it is a very interesting nomogram nonetheless. The equation 1/f1 + 1/f2 + 1/f3 corresponds to A = 1, B = 0 and C = –f1f2f3 in Clark’s general equation (1) given above, because you can rewrite 1/f1 + 1/f2 + 1/f3 as (f1f2f3)–1 (f1f2 + f2f3 + f1f3).

Actually, it’s also possible to find a single curve nomogram for f1 + f2 + f3 = 0 as shown below. Another way of looking at this is that the three real roots of a cubic equation ax3 + bx2 + cx + d = 0 sum to –b/a, so a plot of y = x3 marked with its x-values provides a single scale nomogram for addition.

Clark called all of these cubic forms of nomograms because the common curve in each case is given by a third-degree equation.
Evesham concludes his thesis with a discussion of Russian advances in nomography from the 1950s, including the use of oriented transparencies of scales laid across other printed scales as treated by Khovanskii. This type of nomogram can incorporate more variables in a single alignment. He refers to a work by Margoulis that uses oriented transparencies to solve very complicated equations of several variables.
H. A. Evesham’s thesis weaves together many threads in the history of nomographic theory. You will find real treasures in this book; the bibliography is valuable for searching out more details. I appreciated the book immensely. It would be difficult to find a place for it in a modern school curriculum, as a knowledge of basic nomography is a practical prerequisite, but Evesham does a great service in making the historical of nomography available to those of us with a special interest in the field of graphical calculation.
Ron Doerfler maintains a blog on technically elegant but nearly forgotten mathematics at http://www.myreckonings.com/wordpress. He lives in Naperville, Illinois, and works as a systems engineer for the Northrop Grumman Corporation. His email address is doerfpub@myreckonings.com.